期刊VIP學術指導 符合學術規范和道德
保障品質 保證專業,沒有后顧之憂
1. 三相五線制介紹
三相五線制包括三相電的三個相線(A、B、C線)、中性線(N線);以及地線(PE線)。地線在供電變壓器側和中性線接到一起,但進入用戶側后不能當作零線使用,否則發生混亂后就與三相四線制無異了。我國規定,民用供電線路相線之間的電壓(即線電壓)為380V,相線和地線或中性線之間的電壓(即相電壓)均為220V。進戶線一般采用單相三線制,即三個相線中的一個和中性線(作零線)、地線。
三相五線制標準導線顏色為:A相黃色,B相綠色,C相紅色,N線淺藍色,PE線黃綠雙色。
工作零線N與保護零線PE 除在變壓器中性點共同接地外,兩線不再有任何的電氣連接。由于該種接線能用于單相負載、沒有中性點引出的三相負載和有中性點引出的三相負載,因而得到廣泛的應用。在三相負載不完全平衡的運行情況下,工作零線 N是有電流通過且是帶電的,而保護零線 PE 不帶電,因而該供電方式的接地系統完全具備安全和可靠的基準電位。
一般用途最廣的低壓輸電方式是三相四線制,采用三根相線加零線供電,零線由變壓器中性點引出并接地,電壓為380/220V,取任意一根相線加零線構成220V供電線路供一般家庭用,三根相線間電壓為380V,一般供電機使用。 三相五線制比三相四線制多一根地線,用于安全要求較高,設備要求統一接地的場所。
現在實際中還有一種三相六線的接法,除工作零線、保護接地外,還專門另配一路接地線。這根線跟設備地線分開來接,不與其他任何線相接,用作對儀器設備的保護,因為電氣件的損壞往往只幾微秒的時間,所以要將誤動作電流更快的引回大地,需要儀器直接接地。
2、接零保護的原理與分析
零線和地線的根本差別在于一個構成工作回路,一個起保護作用,叫做保護接地;一個回電網,一個回大地。在電子電路中這兩個概念是要區別開來的,在正規公司里,這兩根線規定要分開接。
保護接零就是將設備在正常情況下不帶電的金屬部分,用導線與系統進行直接相連的方式。采取保護接零方式,保證人身安全,防止發生觸電事故。
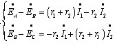
零線的運行狀況可分為三種,阻抗很小(小于0.2歐),阻抗較大(大于1歐)以及斷線。當零線斷開后,斷點后面的眾多三相五線系統如圖所示:

由上圖;列出方程組 ,
其中E表示三相對稱電源的復數形式(數值為220V),r為三相負載電阻,三相負載功率為P。解上面方程得:

由上面結果可知,各電壓的大小只與三相功率的比值有關,而與具體功率數值無關。
工作接地-是電在工作中產生的余電,為了不讓余電擊傷人,讓它能夠讓余電排入到大地體中,所稱工作接地;保護零線-其實也就是地線,就是其中某根電線接觸物體時,讓漏保開關能及時跳閘,防止擊傷人,所以稱為保護零線。 兩種接線方式都為保護人身安全起著重要作用。
保護接地與保護接零的主要區別是:
(1)保護原理不同
保護接地是限制設備漏電后的對地電壓,使之不超過安全范圍。在高壓系統中,保護接地除限制對地電壓外,在某些情況下,還有促使電網保護裝置動作的作用;保護接零是借助接零線路使設備漏電形成單相短路,促使線路上的保護裝置動作,以及切斷故障設備的電源。此外,在保護接零電網中,保護零線和重復接地還可限制設備漏電時的對地電壓。
(2)適用范圍不同
保護接地即適用于一般不接地的高低壓電網,也適用于采取了其他安全措施(如裝設漏電保護器)的低壓電網;保護接零只適用于中性點直接接地的低壓電網。
(3)線路結構不同
如果采取保護接地措施,電網中可以無工作零線,只設保護接地線;如果采取了保護接零措施,則必須設工作零線,利用工作零線作接零保護。保護接零線不應接開關、熔斷器,當在工作零線上裝設熔斷器等開斷電器時,還必須另裝保護接地線或接零線。
把電工設備的金屬外殼和電網的零線連接,以保護人身安全的一種用電安全措施。在電壓低于1000伏的接零電網中,若電工設備因絕緣損壞或意外情況而使金屬外殼帶電時,形成相線對中性線的單相短路,則線路上的保護裝置(自動開關或熔斷器)迅速動作,切斷電源,從而使設備的金屬部分不至于長時間存在危險的電壓,這就保證了人身安全。多相制交流電力系統中,把星形連接的繞組的中性點直接接地,使其與大地等電位,即為零電位。由接地的中性點引出的導線稱為零線。在同一電源供電的電工設備上,不容許一部分設備采用保護接零,另一部分設備采用保護接地(見接地)。因為當保護接地的設備外殼帶電時 ,若其接地電阻r′D較大,故障電流ID不足以使保護裝置動作,則因工作電阻rD的存在,使中性線上一直存在電壓U0=IDrD,此時 ,保護接零設備的外殼上長時間存在危險的電壓U0,危及人身安全。
零線多相制交流電力系統中,把星形連接的繞組的中性點直接接地,使其電位與大地相等,即為零電位。由接地的中性點引出的導線稱為零線。中國規定 380伏交流電源一般采用三相星形連接,中性點直接接地。故中性線即為零線。采用保護接零的電網中,中性線必須按規定重復接地,以免在中性線斷線情況下,電工設備接零外殼可能發生的帶電危險。
重復接地在電網接零處或附近規定的地點,中性線上加裝接地裝置的措施。如果無重復接地,當零線發生意外斷線時,斷線后面任意設備均會因絕緣損壞而使外殼帶電,這一電壓通過中性線引到所有接零設備的外殼,操作人員接觸任意設備的外殼,都會存在危險。有了重復接地裝置,在發生上述情況時,就產生接地電流ID。若忽略相線與中性線的導線電阻,則接地電流為斷線后面中線上的電壓為適當布置重復接地裝置的位置與數量,使r值足夠小時,中性線上呈現的電壓U0可以小于安全電壓。重復接地一般布置在容量較大的用電設備、線路的分支點、線路終點等處。
三、綜述
三相五線制的學問就在于這兩根"零線"上,在比較精密電子儀器的電網中使用時,如果零線和接地線共用一根線的話,對于電路中的工作零點會有影響的,雖然理論上它們都是0電位點,如果偶爾有一個電涌脈沖沖擊到工作零線,而零線和地線卻沒有分開,比如這種脈沖就是因為相線漏電引起的。再如有些電子電路中如果零點飄移現象嚴重的話那么電器外殼就可能會帶電,可能會損壞電氣元件的,甚至損壞電器,造成人身安全的危險。
把電工設備的金屬外殼和電網的零線可靠連接,以保護人身安全的一種用電安全措施。在電壓低于1000伏的接零電網中,若電工設備因絕緣損壞或意外情況而使金屬外殼帶電時,形成相線對中性線的單相短路,則線路上的保護裝置(自動開關或熔斷器)迅速動作,切斷電源,從而使電工設備的金屬部分不至于長期存在危險的電壓,這就保證了人身安全。在同一電源供電的電工設備上,不容許一部分設備采用保護接零,而另一部分設備采用保護接地。
有了保護接零,當發生碰殼短路時,短路電流就由相線流經外殼到零線,再回到變壓器的中性點。由于故障回路的電阻、電抗都很小,所以故障電流很大,它足以使線路上的保護裝置(熔斷器或自動開關)迅速動作,從而將漏電的設備斷開電源,消除危險,起到保護作用。雖然保護接地和保護接零都可以保證人身安全,但保護接零較保護接地更具有優越性,因為零線的阻抗小、短路電流大,從而克服了保護接地要求其電阻值很小的局限性。